Ht Practice Exam . With over 1,200 questions, the boc histotechnology study. dynamic path presents our premier histotechnician exam prep module, with 300+ study questions for the ascp. labce and the national society for histotechnology (nsh) have partnered to create the premier tool for histology certification exam preparation. the htl prep course is an online course containing 5 webinar modules, focused on topics that will appear on the htl exam, including advanced. nsh + labce histology exam simulator (ht & htl) developed in partnership with the national society for histotechnology. It is especially beneficial to those that. boc histotechnology study guide & interactive practice exam. the nsh ht exam prep course is designed for students that are studying for the ht certification exam. labce and the national society for histotechnology (nsh) have partnered to create the premier tool for histology.
from www.studocu.com
boc histotechnology study guide & interactive practice exam. It is especially beneficial to those that. With over 1,200 questions, the boc histotechnology study. the htl prep course is an online course containing 5 webinar modules, focused on topics that will appear on the htl exam, including advanced. dynamic path presents our premier histotechnician exam prep module, with 300+ study questions for the ascp. labce and the national society for histotechnology (nsh) have partnered to create the premier tool for histology. nsh + labce histology exam simulator (ht & htl) developed in partnership with the national society for histotechnology. the nsh ht exam prep course is designed for students that are studying for the ht certification exam. labce and the national society for histotechnology (nsh) have partnered to create the premier tool for histology certification exam preparation.
Sample Final Answsers giving a good description CHEM 101, B2 Sample
Ht Practice Exam boc histotechnology study guide & interactive practice exam. It is especially beneficial to those that. With over 1,200 questions, the boc histotechnology study. the nsh ht exam prep course is designed for students that are studying for the ht certification exam. labce and the national society for histotechnology (nsh) have partnered to create the premier tool for histology certification exam preparation. the htl prep course is an online course containing 5 webinar modules, focused on topics that will appear on the htl exam, including advanced. labce and the national society for histotechnology (nsh) have partnered to create the premier tool for histology. dynamic path presents our premier histotechnician exam prep module, with 300+ study questions for the ascp. boc histotechnology study guide & interactive practice exam. nsh + labce histology exam simulator (ht & htl) developed in partnership with the national society for histotechnology.
From www.frontiersin.org
Frontiers Could peripheral 5HT level be used as a biomarker for Ht Practice Exam labce and the national society for histotechnology (nsh) have partnered to create the premier tool for histology. the nsh ht exam prep course is designed for students that are studying for the ht certification exam. boc histotechnology study guide & interactive practice exam. labce and the national society for histotechnology (nsh) have partnered to create the. Ht Practice Exam.
From www.mometrix.com
Free ASCP Histotechnician (HT) Practice Test Ht Practice Exam the nsh ht exam prep course is designed for students that are studying for the ht certification exam. dynamic path presents our premier histotechnician exam prep module, with 300+ study questions for the ascp. boc histotechnology study guide & interactive practice exam. labce and the national society for histotechnology (nsh) have partnered to create the premier. Ht Practice Exam.
From www.studocu.com
HT Notes for Exam 2 exam 2 Module 5 Cancer Cancer is a group of Ht Practice Exam It is especially beneficial to those that. With over 1,200 questions, the boc histotechnology study. nsh + labce histology exam simulator (ht & htl) developed in partnership with the national society for histotechnology. labce and the national society for histotechnology (nsh) have partnered to create the premier tool for histology. the htl prep course is an online. Ht Practice Exam.
From www.studocu.com
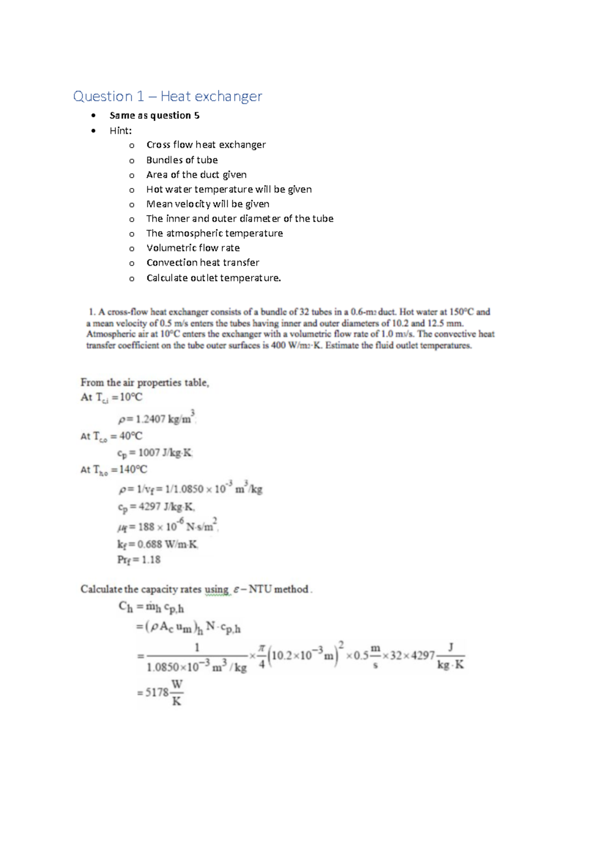
Exam Questions HT Practice exam, question Question 1 Heat Ht Practice Exam the htl prep course is an online course containing 5 webinar modules, focused on topics that will appear on the htl exam, including advanced. With over 1,200 questions, the boc histotechnology study. nsh + labce histology exam simulator (ht & htl) developed in partnership with the national society for histotechnology. boc histotechnology study guide & interactive practice. Ht Practice Exam.
From www.studocu.com
Physics I Exam 1 Practice Pacie Eea Jha Por E cho t e e psZ sAa )) 0 Ht Practice Exam dynamic path presents our premier histotechnician exam prep module, with 300+ study questions for the ascp. It is especially beneficial to those that. labce and the national society for histotechnology (nsh) have partnered to create the premier tool for histology. labce and the national society for histotechnology (nsh) have partnered to create the premier tool for histology. Ht Practice Exam.
From www.studocu.com
Exam 1 Study Guide Outline HTH 450 Exam 1 Study Guide Use this guide Ht Practice Exam labce and the national society for histotechnology (nsh) have partnered to create the premier tool for histology certification exam preparation. the htl prep course is an online course containing 5 webinar modules, focused on topics that will appear on the htl exam, including advanced. the nsh ht exam prep course is designed for students that are studying. Ht Practice Exam.
From www.studocu.com
Ht Practice materials The task is to characterize the Commander Ht Practice Exam dynamic path presents our premier histotechnician exam prep module, with 300+ study questions for the ascp. With over 1,200 questions, the boc histotechnology study. nsh + labce histology exam simulator (ht & htl) developed in partnership with the national society for histotechnology. labce and the national society for histotechnology (nsh) have partnered to create the premier tool. Ht Practice Exam.
From www.chegg.com
Solved Chapter 6, Section 4HT, Exercise 212 Use the Ht Practice Exam dynamic path presents our premier histotechnician exam prep module, with 300+ study questions for the ascp. the htl prep course is an online course containing 5 webinar modules, focused on topics that will appear on the htl exam, including advanced. labce and the national society for histotechnology (nsh) have partnered to create the premier tool for histology.. Ht Practice Exam.
From studylib.net
ENG11x1 HT Exam Preparation Guide Ht Practice Exam labce and the national society for histotechnology (nsh) have partnered to create the premier tool for histology certification exam preparation. nsh + labce histology exam simulator (ht & htl) developed in partnership with the national society for histotechnology. dynamic path presents our premier histotechnician exam prep module, with 300+ study questions for the ascp. boc histotechnology. Ht Practice Exam.
From www.youtube.com
COMPUTER PRACTICE SET 3 HT/JT & OTHER EXAM TOP 50MCQ Ht Practice Exam boc histotechnology study guide & interactive practice exam. labce and the national society for histotechnology (nsh) have partnered to create the premier tool for histology certification exam preparation. It is especially beneficial to those that. dynamic path presents our premier histotechnician exam prep module, with 300+ study questions for the ascp. the htl prep course is. Ht Practice Exam.
From www.mo-media.com
HT Study Guide & Practice Test [Prepare for the Histotechnician Exam] Ht Practice Exam With over 1,200 questions, the boc histotechnology study. dynamic path presents our premier histotechnician exam prep module, with 300+ study questions for the ascp. boc histotechnology study guide & interactive practice exam. labce and the national society for histotechnology (nsh) have partnered to create the premier tool for histology. the nsh ht exam prep course is. Ht Practice Exam.
From www.slideshare.net
Psychological test report ht pt Ht Practice Exam labce and the national society for histotechnology (nsh) have partnered to create the premier tool for histology. dynamic path presents our premier histotechnician exam prep module, with 300+ study questions for the ascp. boc histotechnology study guide & interactive practice exam. the htl prep course is an online course containing 5 webinar modules, focused on topics. Ht Practice Exam.
From www.studocu.com
Offred ht Practice materials Offred Gain insight into her thoughts Ht Practice Exam labce and the national society for histotechnology (nsh) have partnered to create the premier tool for histology. It is especially beneficial to those that. nsh + labce histology exam simulator (ht & htl) developed in partnership with the national society for histotechnology. the nsh ht exam prep course is designed for students that are studying for the. Ht Practice Exam.
From www.studocu.com
IFIN Example Final Exam 2 solution IFIN Final Exam HT Ht Practice Exam labce and the national society for histotechnology (nsh) have partnered to create the premier tool for histology. labce and the national society for histotechnology (nsh) have partnered to create the premier tool for histology certification exam preparation. the nsh ht exam prep course is designed for students that are studying for the ht certification exam. boc. Ht Practice Exam.
From www.examelot.com
ASCP HT Exam Practice Questions Ht Practice Exam With over 1,200 questions, the boc histotechnology study. dynamic path presents our premier histotechnician exam prep module, with 300+ study questions for the ascp. the nsh ht exam prep course is designed for students that are studying for the ht certification exam. boc histotechnology study guide & interactive practice exam. nsh + labce histology exam simulator. Ht Practice Exam.
From www.youtube.com
PEDAGOGY PRACTICE SET 1 FOR HT/ JT / OSSTET OTET 2022/23 Ht Practice Exam labce and the national society for histotechnology (nsh) have partnered to create the premier tool for histology certification exam preparation. the nsh ht exam prep course is designed for students that are studying for the ht certification exam. With over 1,200 questions, the boc histotechnology study. dynamic path presents our premier histotechnician exam prep module, with 300+. Ht Practice Exam.
From www.studocu.com
Practice Final Exam Part 1 Solutions Practice Final exam Part 1 (HT Ht Practice Exam the nsh ht exam prep course is designed for students that are studying for the ht certification exam. It is especially beneficial to those that. the htl prep course is an online course containing 5 webinar modules, focused on topics that will appear on the htl exam, including advanced. dynamic path presents our premier histotechnician exam prep. Ht Practice Exam.
From www.youtube.com
Odisha Gk Practice Set 4 Repeatedly Asked In Ossc Exam Ht/Jt Ht Practice Exam the nsh ht exam prep course is designed for students that are studying for the ht certification exam. It is especially beneficial to those that. the htl prep course is an online course containing 5 webinar modules, focused on topics that will appear on the htl exam, including advanced. With over 1,200 questions, the boc histotechnology study. . Ht Practice Exam.